- Below is the Victoria PLC Live Discussion, edited into smaller videos for your convenience - for speed listening, go to the settings wheel on the bottom right of the video and choose playback speed - after one minute video becomes high-resolution -

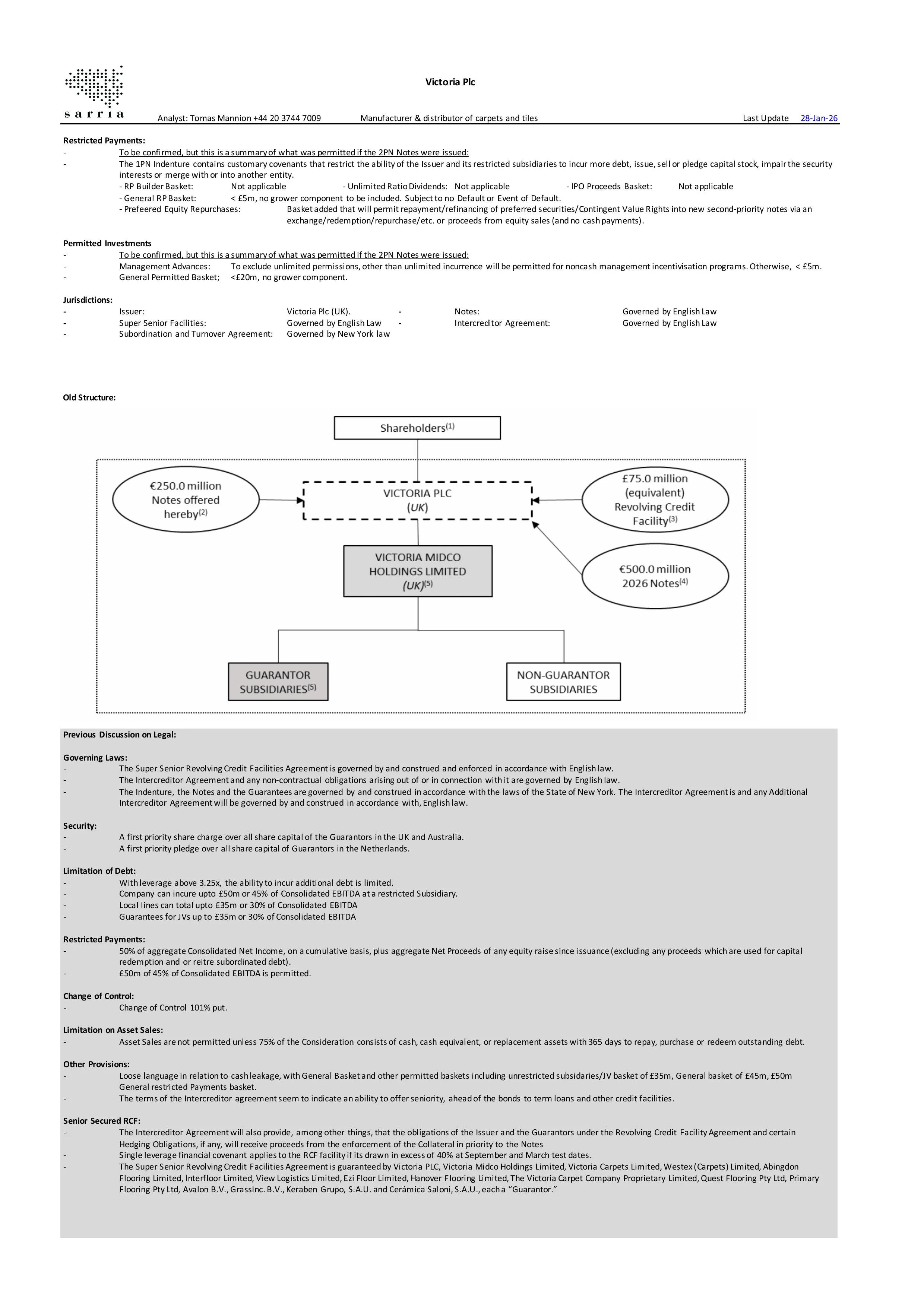
Intro, Cap and Legal Structure - 22 Nov 24

Game Theory - 22 Nov 24

Company - 22 Nov 24

Q&A - 22 Nov 24

Situational Overview - 22 Nov 24

Investment Discussion - 22 Nov 24

Modeling 22 Nov 24
Victoria PLC completed a sale and leaseback of its Belgian distribution centre for c.€34m, crystallising an uplift versus the
This morning’s profit warning from Victoria PLC reinforces that this is still fundamentally a volume-driven issue. While management continues to
Please find our updated analysis on Victoria PLC here.
The reason for the existence of Victoria has historically been to consolidate the carpet/flooring manufacturing market, resulting in
Victoria released its H1 results this morning, which were in line with the guidance issued in early November. Revenue, and volumes in particular, remain weak; however,
Ahead of publishing its half-year results for the period ending September 2025, Victoria has released a trading statement reaffirming its
The 2028 bondholders have rejected the exchange offer from Victoria Plc, choosing not to accept the distressed offer to uptier the balance. Admittedly, we had
Philippe Hamers, Group CEO of Victoria Plc, has announced his intention to retire in the middle of next year. The timing makes some sense,
The final blow to the 2028 Noteholders has been delivered via this morning's exchange offer. These holders were already significantly disadvantaged by
Victoria is holding its AGM today and has therefore released an AGM statement to the market. However, the Company have provided very little
Deal is done, and the proverbial can is kicked down the road. We maintain that this deal only offers a short-term improvement in liquidity and
(Wolfgang on behalf of Tomas) The company disclosed that over 97% of holders of the 2026 notes are supporting the amendments. Since these
Victoria Plc has confirmed that 78% of the 2026 Noteholders voted in favour of the recent consent solicitation to elevate the ranking of the
Victoria Plc has launched a consent solicitation to amend and extend its 2026 Notes. With approximately 90% of these bondholders already party to
The balance sheet restructuring of Victoria Plc is painfully slow, but another milestone was completed today. The RCF, which had traded away from
Fitch downgraded Victoria Plc bonds to CCC+, reflecting the market view of a difficult refinancing task for the Company with its upcoming bonds. We reiterate our
Victoria Plc issued a trading update for the year ending March 2025, confirming revenue to be at least £1.11bn and that EBITDA margins will broadly
As part of Victoria’s announcement on a new CFO, the Company also commented on its refinancing proposals, stating the negotiated refinancing of
Market chatter confirms that £27m VIctoria RCF was auctioned yesterday, but we can't confirm if it traded. This follows a similar size piece that
Moody's downgraded Victoria plc Senior Secured bonds to Caa1 from B3 keeping outlook negative, driven by the refinancing risk associated with upcoming
Victoria Plc released a Q3 update, confirming its trading outlook expectations to be in line with market consensus. Overall, market consensus is
The Spruce House Partnership has effectively left the share register in Victoria Plc, reducing its exposure to 3.8%. Spruce House historically had
Fitch has caught up with the reality of Victoria's situation and downgraded the bonds to B+ from BB. This is a reaction to the deterioration of EBITDA as
A new shareholder has appeared on Victoria’s register, Philosophy Capital Management LLC, with a 6.6% stake. In context, this is a £3m position and
The share register in Victoria Plc continues to evolve as The Spruce House Partnership exits its position. From holding 20.7% at year-end, they have reduced to
Victoria Plc released their full H1 24/25 numbers, with investors focusing firmly on the outlook. There was no mention of negotiations with bondholders with
Before releasing their H1 numbers next Tuesday (26th), the Company has announced the sale of its ceramic business in Turkey. Cash proceeds are
We will be hosting a call on Victoria on Friday 22nd. Victoria Plc confirmed their previous guidance issued in early October that H2 will see
Please find our model on Victoria Plc here.
Victoria has seen an 18-month downturn in demand, which has reduced EBITDA from c. £150m to an expected £60m for FYE Mar-'25. The Company has
S&P has downgraded Victoria to B—with a negative outlook due to increasing leverage and upcoming maturities,